Vehicle Mapping using Excel

- Fill the excel sheet:
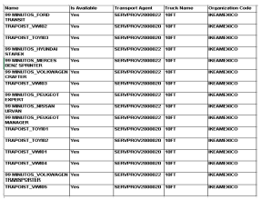
- Routyn truck name
- Is available
- Transport agent
- Truck name (can use same truck name for all)
- Organisation code

- Go to utility > y-route > y-route vehicle mapping.
- Key in:
- Organisation code
- Transporter code

- Select the excel file using file manager.
- Click upload vehicles.

- Routyn vehicle mapping record is added.