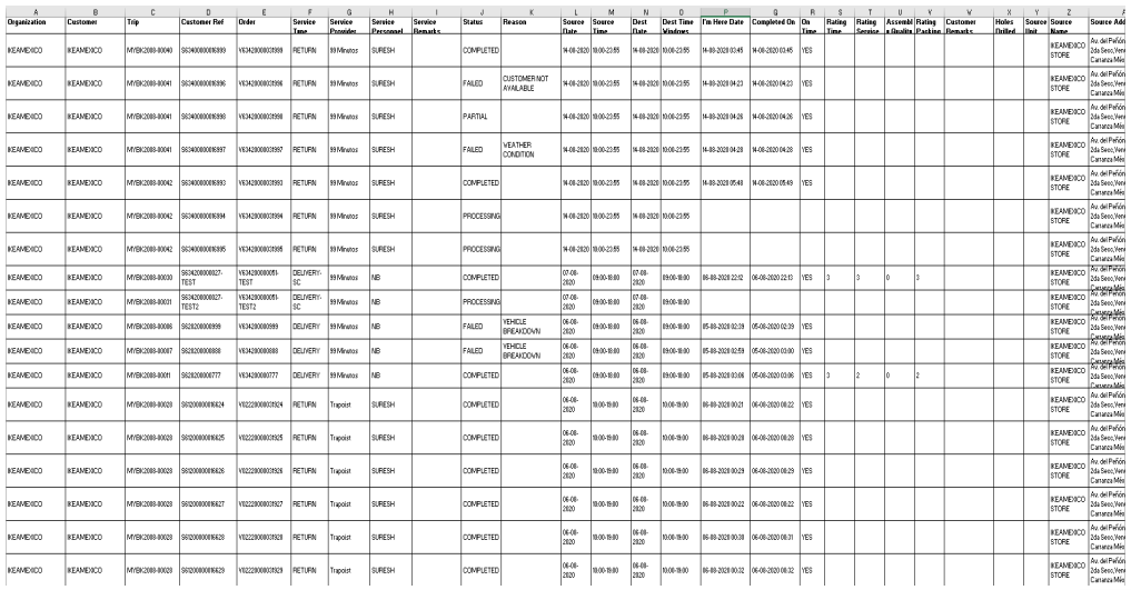
Order Details Report

Graphical user interface, application

Description automatically generated

Table

Description automatically generated

  • Go to reports > order details report.
  • Select:
    1. Organisation
    2. Customer
    3. Date range
  • Click export XLS.